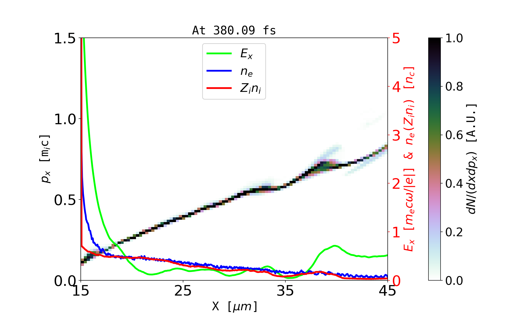
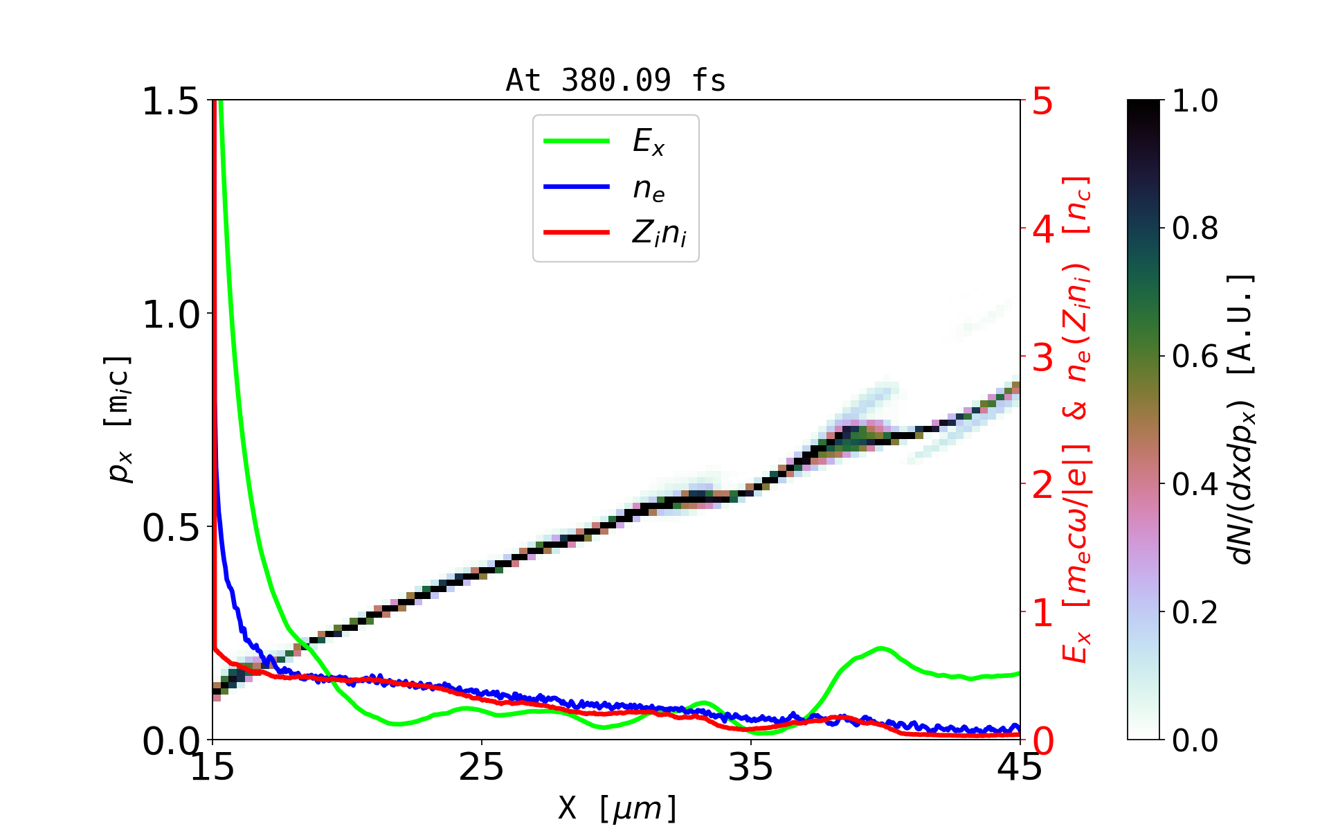
Public content shared with everyone by Zheng Gong Alert: Your browser does not have Javascript enabled. The folder browser user interface will not work properly without it. cut_px_x_phase_0029_r35.pngfigures_for_cannon_immobile_carbonIon-acceleration-MVAPublic