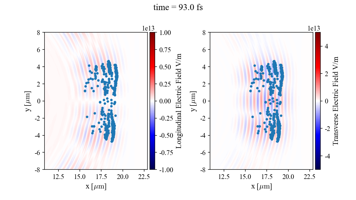
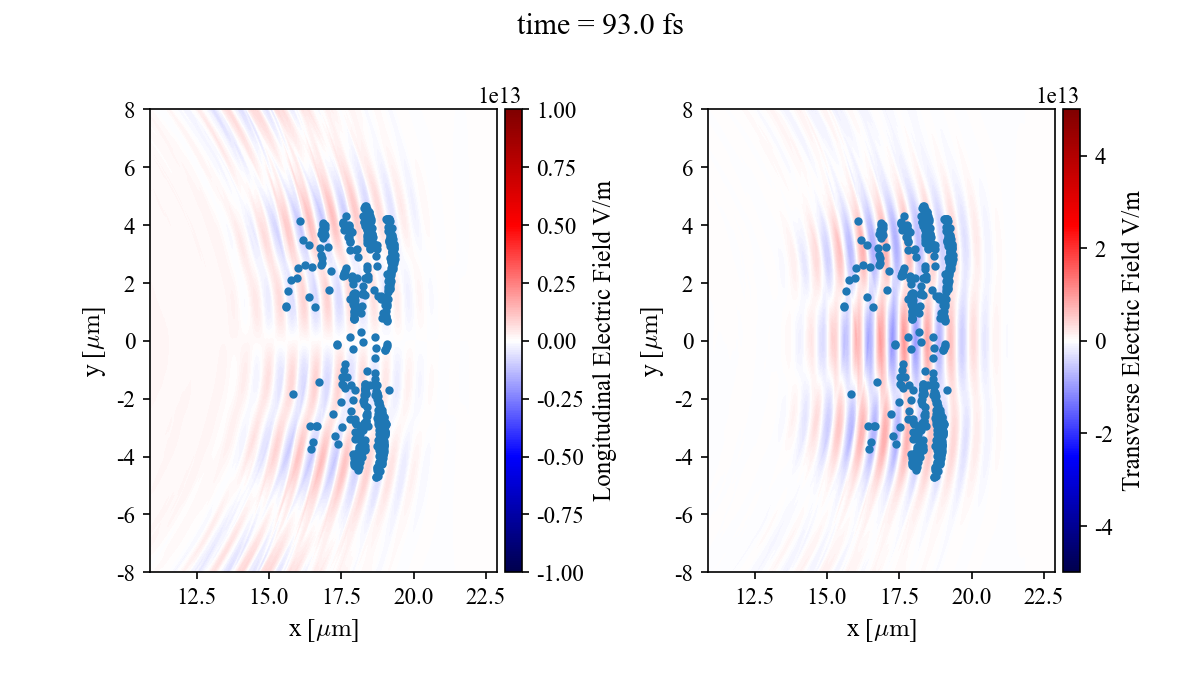
Public content shared with everyone by David Blackman Alert: Your browser does not have Javascript enabled. The folder browser user interface will not work properly without it. overplot_015.pngElectric Field overplotted with positions of selected electronsMoving Window 2DResults May 5th 2022Gold WirePublic